24小时销售热线

13564689660

产品中心

我的位置:首页  >  产品中心  >  电子测试仪器  >  数据记录仪  >  固纬DAQ-9600高精度数据记录仪
固纬DAQ-9600高精度数据记录仪

固纬DAQ-9600高精度数据记录仪4.3"TFT 彩色显示屏,3插槽主机,内置6位半数字万用表,基本DCV 精度0.0035%,5个可选开关模块,扫描速率高达450通道/s,高达100k点的内存。

  • 产品型号:
  • 厂商性质:代理商
  • 更新时间:2024-07-01
  • 访  问  量:1093
立即咨询

联系电话:021-51087863

产品详情

固纬DAQ-9600高精度数据记录仪介绍:

全新上市的DAQ-9600数据采集器,是一个具有高灵活性和高效能的模块化数据采集器;以内建精准的6 ½数字电表为测量的基础核心,主机可配备3个模块,并提供5个开关模块以满足不同的测量需求;用于分析产品特性的研发,系统测试或故障诊断的生产制造,让整体的测试更简单、快速。

DAQ-9600提供5个开关模块,包括通用型模块(DAQ-900/ DAQ-901)、多功能模块(DAQ-903)、矩阵式模块(DAQ-904)以及高电压高电流模块(DAQ-909),用户可依测量需求任意组合搭配。

DAQ-9600配备 4.3" TFT 彩色显示屏,简约的功能键设计,以不同格式呈现测量数据,如数值、条形图、趋势图和直方图。DAQ-9600可测量14种输入信号,包括温度(RTD/热电耦/热敏电阻)、电压(交流/直流)、电流(交流/直流)、电阻(两线制/四线制)、应力(直接/电桥)、频率/周期和电容。DAQ-9600配备LANUSBMini GPIB(选配),并提供免费的DAQ-Data Logger软件。

固纬DAQ-9600高精度数据记录仪产品特点:

  • 4.3"TFT 彩色显示屏

  • 3插槽主机,内置6位半数字万用表

  • 基本DCV 精度0.0035%

  • 5个可选开关模块

  • 扫描速率高达450通道/s

  • 高达100k点的内存

  • 测量14种不同的输入信号: 热电偶,RTD和热敏电阻,温度直流/交流电压,2线制和4线制电阻,频率和周期,直流/交流电流,电容

  • 与 DAQ-970A指令兼容

  • USB存储支持在独立操作中复制/记录数据

  • 接口: Digit I/O,LAN,USB host/device和 mini GPIB(选配免费的PC软件,可以轻松配置和控制测试





固纬DAQ-9600高精度数据记录仪












DAQ-9600提供3个模块插槽,均可用来安装开关和控制模块,并提供5种不同模块以满足不同的测量需求。这些模块包括通用模块、多功能模块和矩阵模块,可任意选择、混搭这些模块,以获得您目前最需要的功能,并随应用需求增加,随时更换或添加模块。每个模块的测量通道皆可独立配置,包括测量功能、挡位、速度,甚至是分别设定高级测量功能,例如偏移补偿。DAQ-9600可提供多达 60个两端测量、120 个单端测量,或 96 个矩阵交叉接点,在完成复杂多样的测量工作时,同时节省工作台空间和成本。

固纬DAQ-9600高精度数据记录仪













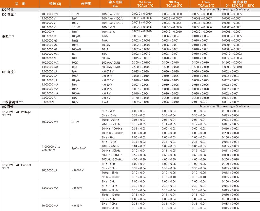
DAQ-9600的测量核心是 6 ½ 位数字电表,是具有工业级数位电表的功能和效能。可针对14种不同的输入信号进行测量和转换,除了高分辨率外,还提供0.0035%直流电压基本准确度、0.05%交流电压基本准确度和0.01%电阻基本准确度(一年校验期内)。此数字电表的功能,可在搭配通用型模块(DAQ-900/ DAQ-901)、多功能模块(DAQ-903)以及高电压高电流模块(DAQ-909)使用;所有多任务器模块都采用「先断后连」扫描,确保一次只闭合一个通道(或一对通道)

固纬DAQ-9600高精度数据记录仪



传感器的使用在数据采集器的应用中,扮演重要的角色,将物理量转成电子信号,例如温度的测量(温度转电压)、压力和应力的测量(电阻转电压)DAQ-9600无须依赖外部或插入式信号调节模块,来处理直流电压以外的功能,不仅大幅减少外部接线所产生的噪声和误差进入系统,提高可靠性;同时,避免不必要的线缆、分线盒和信号调节组件的使用,让配置变得更快、更容易。以温度的测量为例,热电耦的测量常伴随着席贝克效应(两种不同电导体或半导体的温度差异而引起两种物质间的电压差的热电现象)DAQ的模块均提供冷接点补偿(DAQ-904),确保为测量热电耦的所有通道提供最大的准确度,避免使用外接冷接点的温度延伸线,徒增外部接线产生的噪声和误差进入系统。

固纬DAQ-9600高精度数据记录仪





固纬DAQ-9600高精度数据记录仪





在线咨询

留言框

  • 产品:

  • 您的单位:

  • 您的姓名:

  • 联系电话:

  • 常用邮箱:

  • 省份:

  • 详细地址:

  • 补充说明:

  • 验证码:

    请输入计算结果(填写阿拉伯数字),如:三加四=7
  • 电话:TEL

    021-51087863

  • 邮箱:EMAIL

    13564689660@163.com

  • 传真:FAX

    021-33250173

版权所有© 2025 上海增骏实业有限公司 All Rights Reserved     备案号:京ICP证000000号

技术支持:化工仪器网     管理登录    

TEL:021-51087863

扫码添加微信